棉纤维的结构一般包含大分子结构、超分子结构和形态结构,前两者合称微观结构。棉纤维的特性基本上由这些结构决策,因此,了解棉纤维结构可为检验棉纤维品质提供理论基础。
1.大分子结构
棉纤维中含有纤维素、多缩戊糖、蛋白质、脂肪和蜡质、水溶性物质、灰分等多种化合物。棉纤维在生长过程中,其化学组成是不断变化的,见表1-2。
成熟的棉纤维大部分由纤维素组成,纤维素是一种碳水化合物,在棉花生长过程中由二氧化碳和水经完合作用而形成。纤维素由碳44.4%、氢6.2%、氧49.4%组成。分子式为(C8 H 10 O5 ) n ,大分子结构式为:

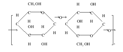
纤维素是一种多糖物质,每个纤维素大分子由n个葡萄糖剩基彼此以1,4-苷键(氧桥)联结而成。n为大分子的聚合度。棉纤维素的聚合度为10000~15000,即它由10000~15000个葡萄糖剩基连成一个大分子。
纤维素大分子的基本链节(基本单元或单基)是葡萄糖剩基,结构式为六元环形结构,也称氧六环。每两个氧六环反向对称,一反一正通过氧桥(—O—)连成一个重复单元,即大分子单元结构是纤维素双糖。但每一氧六环的21个原子并不在一个平面上,相邻两个氧六环的中心平面也不在一个平面上。氧六环的空间结构属于椅式结构。每个氧六环上有三个羟基,其中一个伯醇羟基(—CH2 OH),两个仲醇羟基(CHOH),它们都具有一般羟基的特性,但在化学性质上略有差异。
纤维素大分子的官能团是羟基(—OH)和甙键(—O—)。羟基是亲水性基团,使棉纤维具有肯定的吸湿能力;而苷键对酸敏感,所以棉纤维比较耐碱而不耐酸。此外,棉纤维素大分子的氧六环之间距离较短,大分子间羟基的作用较多,故纤维素大分子的柔曲性较差,属于较僵硬的大分子,棉纤维比较刚硬,初始模量很高,回弹性有限。
2.超分子结构
超分子结构是指大于分子范围的结构,又称聚集态结构。大分子之间依靠分子结合力能形成多级的超分子结构。
一般线型大分子直径约为1nm,几根直线链状大分子互相平行,按肯定距离、肯定位相、肯定相对形状比较稳定地结合在一起,成为结晶态很细的大分子束,即直径为1~3nm的基原纤,若干根基原纤平行排列结合成直径为4~10nm的微原纤,若干根微原纤基本平行地排列,结合成更粗些的大分子束,即直径为10~30nm的原纤,原纤基本平行地堆砌成更粗的大分子束,即直径为0.1~1.5μm的巨原纤,由巨原纤堆砌成纤维。不同的面料纤维从大分子开始结合成纤维,所具有的结构层次也不同。棉纤维的微观结构是由数十个纤维素大分子聚集形成横向尺寸约6nm的微原纤,再由微元纤聚集成横向尺寸为10~25nm的原纤;由原纤排列成日轮层,然后形成棉纤维。
纤维素大分子之间依靠范德华力和氢键结合。其结构比较规整,大分子排列方向和纤维轴向有肯定关系。一般把纤维内大分子链主轴和纤维轴平行的程度叫取向度。通常情况下,细绒棉的倾斜角为30°左右,长绒棉在25°左右,粗绒棉在35°左右。倾斜角度越小,取向度越高,纤维强度越高,断裂强度越高,断裂伸长率越低。纤维的力学性质、完学性质、溶胀性等都因取向不同而不同。
纤维中大分子的排列比较复杂。纤维内某些区域由于大分子的侧吸引力而排列得比较整齐、密实,缝隙、孔洞较少,这称为结晶区。相反,另一些区域大分子排列比较紊乱,堆砌比较疏松,其中有较多的缝隙和孔洞,密度较低,这称为非结晶区。因此,棉纤维微观内部是一种多孔性的结构,并同时存在着结晶区和非结晶区。结晶部分占整根纤维的百分比称为结晶度。棉纤维的结晶度约为70%,其结晶结构的小单元,即单元晶格(或称晶胞)是由五个平行排列的纤维素大分子在两个氧六环链节长的一段上组成,中间的一个大分子和棱边的 四个大分子是倒向的。其晶胞属单斜晶系,如图1-2所示。不同种类的纤维素纤维,其晶胞尺寸是不相同的。棉纤维和麻纤维单元晶格的a=0.835nm,b=1103nm,c=0.795nm,β=84°,称为纤维素Ⅰ晶胞。粘胶纤维及丝完处理后的棉纤维其单元晶格的a=01814nm,b=1.03nm,c=0.914nm,β=62°,称为纤维素Ⅱ晶胞。

棉纤维取向度、结晶度的大小对纤维强度、伸长以及吸湿、上色等性能均有影响。
3.形态结构
形态结构一般是指测试手段能观看辨认的具体结构,其尺寸随测试手段的进展不断变小。
形态结构分微观形态结构和宏观形态结构。微观形态结构是由电子显微镜能观看到的结构,如微纤、微孔和裂缝等;宏观形态结构是指完学显微镜能观看到的结构,如纤维外观和截面形态等。形态结构对纤维的力学性质、完泽、手感、保暖性、吸湿性等均有影响。
棉纤维细而长,每根成熟的棉纤维,大致可分为基部、中部和顶端三部分。一般顶端封闭,中部略粗,两端略细,纤维长度和宽度之比为1000~3000。正常成熟的棉纤维,外观上具有天然转曲,即它的纵面呈不规则的而且沿纤维长度不断改变转向的螺旋型扭曲。天然转曲是棉纤维所特有的纵向形态特征,在纤维鉴别中可以从天然转曲这一特征将棉和其他纤维区别开来。
天然转曲一般以棉纤维单位长度(1cm)中扭转半周的个数表示。细绒棉的转曲数为39~65个/cm,比正常成熟的长绒棉少。不成熟的薄壁纤维外观呈扁带状,转曲很少。过成熟纤维的外观呈棒状,转曲少。天然转曲使棉纤维具有肯定的抱合力,有利于纺纱工艺过程的正常进行和成纱质量的提高。但转曲反向次数多的棉纤维强度较低。
棉纤维的横截面由许多同心层组成,主要有初生层、次生层、中腔三个部分,如图1-3所示。

初生层是在棉纤维伸长期形成的,它的外皮是一层极薄的蜡质和果胶,表面有螺旋状条纹,螺旋角大约30°,条纹的深度和间距约为0.5μm,长度在10μm以上。在表皮层之下才是纤维的初生胞壁,由网状的原纤组成,其厚度为0.1~0.2μm,初生层和棉纤维表面性质紧密相关。例如棉蜡使棉纤维具有良好的适于纺纱的表面性能,但在棉花纱线、棉布漂染前要经过煮练,以除去棉蜡,保证上色均匀。
次生层是棉纤维在加厚期沉积而成的部分,几乎都是纤维素,是棉纤维的主体层,又可分为三个层次,如图1-3所示的S1 、S2 、S3 层。纤维素在次生层中沉积并不均匀,以束状小纤维的形态和纤维轴倾斜呈螺旋形,螺旋角为20°~30°,沿纤维长度方向时左时右转向。次生层决策了棉纤维的主要物理性质。
棉纤维生长停止后遗留下来的内部空隙就是中腔。同一品种的棉纤维外周长大致相等,次生层厚时中腔就小,次生层薄时中腔就大。中腔内留有少数原生质和细胞核残余,对棉纤维颜色有影响。
免责声明:本站发布的有些文章部分文字、图片、音频、视频来源于互联网,并不代表本网站观点,其版权归原作者所有。如果您发现本网转载信息侵害了您的权益,如有侵权,请联系我们,我们会尽快更改或删除。
联系人:杨经理
手 机:13912652341
邮 箱:34331943@qq.com
公 司:昆山市英杰纺织品进出口有限公司
地 址:江苏省昆山市新南中路567号双星叠座A2217