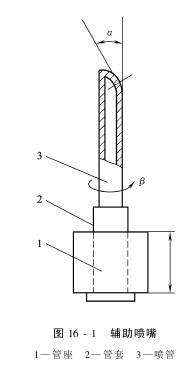
辅助喷嘴
欢迎光临~昆山市英杰纺织品进出口有限公司
  咨询电话:0512-55230820

BTY

辅助喷嘴

    在异形筘式的喷气织机上,纬纱飞过梭口是依靠主喷嘴的正确输送至异形筘槽,再由数十个按肯定距离安装的辅助喷嘴经接力传递的方式送过梭口。
  一、辅助喷嘴的作用
  (1)将纬纱接力输送过梭口。
  (2)利用拉伸喷嘴(又叫尾喷嘴)来伸直纬纱,提高引纬质量。
  (3)和主喷嘴一起共同优化引纬参数,达到完善引纬质量和节气省能的目的。
  生产实践表明,在正常运转时,辅助喷嘴的气耗总量占整机气耗量的75%左右。因此,喷气织机能否进一步提高车速并被广泛采纳,取决于能否进一步提高纬纱飞行速度(关键在于提高气流合成的质量)和进一步降低气耗量,达到节气省能降低生产成本的目的。
  二、辅助喷嘴的类型
  辅助喷嘴由管座1、管套2及喷管3等组成。其中喷管头端压扁成形,喷孔位置在和管身呈α角的斜面上,α称为喷射角;喷管和管套一般用树脂胶固结,两者按肯定的角度β定位。称为喷向角,如图16-1所示。
  辅助喷嘴的外形和尺寸,因机型、筘座结构及异形筘筘槽形状的不同而大同小异。所以,辅助喷嘴的分类,一般就根据其喷孔的数目和形状分成圆形和非圆形孔两大类。圆形孔中又可分成单孔、双孔、五孔、七孔、十九孔、二十一孔等;非圆形孔中又可分成长方形孔、海星状孔等。
  从生产实践角度看,各种孔形的辅助喷嘴的气流性能各有千秋,但也确有差异;它表明上各喷气织机制造厂家对喷气引纬技术的应用有所不同,体现自有的价值。如亚洲产的喷气织机多采纳单孔或双孔的辅助喷嘴;而欧洲产的喷气织机则多采纳多孔或非圆形孔的辅助喷嘴。几种常见的辅助喷嘴进行测绘所得的数值有见表16-1,供参考。


  三、辅助喷嘴的调节
  辅助喷嘴是在“群体”条件下共同起到接力引纬作用的。因此,除要求辅助喷嘴在制造时,个体之间的有关参数要严格一致外,同时还要求它们在安装后,非常对喷向角有着更为严格一致的要求,以获得佳的合成气流。这对于单、双孔辅助喷嘴的安装调试更为重要。由此可知,事先了解并把握住单、双孔辅助喷嘴随供气压力的变化而造成的γ角的大小和方位上的变化尤为必要。从而认为,那种上机后不因供气压力的明显变化而应随之也调节喷向角大小的作法,是很难取得节气省能和优化引纬条件的效果。
  四、几种功能型辅助喷嘴
  基于多年的实践,现用的辅助喷嘴对喷气织机有多种影响,90%以上的辅助喷嘴因磨损而报废,辅助喷嘴的能耗约占整机能耗的70%以上等。
  针对喷气织造的能耗及效率等问题,在此简要介绍获得国家专利的减磨型、节能型及提速型等功能型辅助喷嘴的设计要点及使用效果。
  (一)功能型辅助喷嘴
  1.减磨型辅助喷嘴
  辅助喷嘴磨损的原因有辅助喷嘴插入经纱时和织口之间的距离,现有方式的喷向角β使辅助喷嘴侧身进出梭口是其磨损的主要原因。
  因现有方式的β角使辅助喷嘴侧身进出梭口,从而在其厚度B方向产生了一个厚度增量ΔB,如图16-2所示。为了使辅助喷嘴仍能以其原有厚度B平行于经纱进出梭口,所以减磨型辅助喷嘴将β角上移至喷嘴体的头端一次压制而成。这样既保证了工艺上所必需的大小一致的β角,也幸免了原有喷嘴上的β1和β1在组装时所造成的误差。图16-3所示为减磨型辅助喷嘴的工作状态。此时它就能以厚度B进出梭口,从而减轻了辅助喷嘴和经纱之间的相互摩擦,同时按工艺要求通过调节螺钉对β角进行调节。
  2.提速型辅助喷嘴
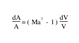
  测试结果表明,喷嘴座和喷嘴体的结构尺寸和辅喷气流的速度有着紧密的关系。根据流体力学基本原理,如果气体在喷管中的流动为等熵流动时,管道中流动的速度变化率和管道截面积变化率之间的关系为:



  由上式可知,亚音速(Ma<1)流动时,气流速度增大比密度减小得快,所以喷管截面缩小(渐缩才能使气流加速),气体在渐缩喷管中具有提速的效应。
  根据上述流体力学连续方程基本原理,对辅喷气流的通道进行了优化设计。图16-4所示为提速型辅助喷嘴的结构图,其渐缩形气流通道的大小端内径之比的取值范围为D/d=1.02~3.0。


  3.节能型辅助喷嘴
  喷气引纬工艺要求引纬的气流必须具有肯定的速度和流量,为此辅助喷嘴射入筘槽内的气流也必须具有肯定的速度和流量。当辅助喷嘴肯定时,每次引纬所喷射的气流所具有的速度和流量和其供气压强成正比。
  在相同供气压强的条件下,辅助喷嘴的喷孔个数、孔径大小、形状及整理精度等因素的差异,都会影响其射流的速度和流量。在对分析各种辅助喷嘴的气流性能后得知,通过降低供气气压和节约流量都可以达到节能的目的(图16-5)。所以,节能型辅助喷嘴的设计要点在于降低每次引纬的耗气量,采纳异径多孔方式进行设计,提高其集束性,并易于和主喷气流汇交,以达到降低气流衰减率及减少堵塞的目的。节能型辅助喷嘴的特征为异径多孔,即中间1大孔

AAASDFERHYTJTI


免责声明:

免责声明:本站发布的有些文章部分文字、图片、音频、视频来源于互联网,并不代表本网站观点,其版权归原作者所有。如果您发现本网转载信息侵害了您的权益,如有侵权,请联系我们,我们会尽快更改或删除。

用手机扫描二维码关闭
二维码